Pokemon Type Classifier

Pokemon Type Classifier

Kenny Lov

Introduction

pokemon

Looking back to my childhood, I have very fond memories of Pokemon, whether it be from waiting for new episodes to air or from the many hours I had played the games. I noticed, while playing the games, that certain types of Pokemon had better base stats than others. For example, I noticed that rock and steel types had especially high defense, fighting and steel types had especially high attack, and dragon types had high values over all base stats. I think it would be interesting to see if there's any correlation between base stats and types, and if so, would it be possible to predict a pokemon's type given their base stats?


The goal will be to see if we can correctly predict a pokemon's type based on their base stats.

Table of Contents

  1. Obtaining the Data
  2. Exploratory Data Analysis
  3. Obtaining Main Color of Pokemon
  4. Building a Predictive Model
  5. Conclusion

Obtaining the Data

Before we can analyze data, we first need to obtain something to analyze. There are a lot of great websites that have the information we need, but for this example we'll be going with Pokemon Database. Instead of manually iterating through every single page writing down information about their battle stats, a much more efficient way would be to program a webscraper to automate the data collection. We'll be using Python's request module to send requests to the website and BeautifulSoup to parse the data. Let's begin.

# import modules for web scraping
import requests
from bs4 import BeautifulSoup
from tqdm import tqdm # add a progress bar for loops

main_page = requests.get('https://pokemondb.net/pokedex/all')
soup = BeautifulSoup(main_page.content, 'html.parser')

poke_html_list = soup.select('a.ent-name')
poke_list = []
for poke in poke_html_list:
    if poke['href'] not in poke_list: poke_list.append(poke['href'])

pokemon_list = []
base_stats = []
type_ = []
evo_stage_list = []

for pokemon in tqdm(poke_list):
    page2 = requests.get('https://pokemondb.net' + pokemon)
    soup2 = BeautifulSoup(page2.content, 'html.parser')
    
    stats = soup2.select('table.vitals-table tbody td.cell-num') #selecting all the numbers
    stat_numbers = []
    for index, i in enumerate(stats):
        if (index)%3 ==0: stat_numbers.append(i.text) #every 3 is one of the main stats
    base_stats.append(stat_numbers)
    
    
    types = soup2.select('table.vitals-table tbody tr a.type-icon')
    ind_type = []
    for i in types:
        ind_type.append(i.text)
    type_.append(list(set(ind_type)))

    evo_list = soup2.select('div.infocard a.ent-name')
    evo_list = list(map(str, evo_list))
    evo_stage = [stage for stage, item in enumerate(evo_list) if pokemon+'"' in item]
    # if the list is empty, then that means there is no other evolutions, so just assign it '1'
    try:
        evo_stage_list.append(evo_stage[0] + 1)
    except:
        evo_stage_list.append(1)

hp = []
att = []
defs = []
spatt = []
spdef = []
spe = []

for i in base_stats:
    hp.append(i[0])
    att.append(i[1])
    defs.append(i[2])
    spatt.append(i[3])
    spdef.append(i[4])
    spe.append(i[5])
    
first_type = []
for i in type_:
    first_type.append(i[0])

import pandas as pd
dataf = pd.DataFrame({'pokemon': [i.replace('/pokedex/', '') for i in poke_list],
                      'hp': hp,
                      'att': att,
                      'defs': defs,
                      'spatt': spatt,
                      'spdef': spdef,
                      'spe': spe,
                      'type': first_type,
                      'types': type_,
                     'evo_stage': evo_stage_list})

dataf = dataf[['pokemon']+list(dataf.drop('pokemon', axis=1).columns)] # moving pokemon column to the front
dataf.to_csv('original_data.csv', index=False)

This program iterates through all of the individual pokemon's unique page and collects their HP, Attack, Defense, Sp. Attack, Sp. Def, Speed, Types, and their Evolution Stage. Once the information is collected, the data is passed into a pandas DataFrame object so we get an organized and informative dataframe! This is what the first 10 rows look like:

dataf.head(10)
pokemon hp att defs spatt spdef spe type types evo_stage r g b color
0 bulbasaur 45 49 49 65 65 45 Grass ['Grass', 'Poison'] 1 98 153 119 rgb(98, 153, 119)
1 ivysaur 60 62 63 80 80 60 Grass ['Grass', 'Poison'] 2 95 133 133 rgb(95, 133, 133)
2 venusaur 80 82 83 100 100 80 Grass ['Grass', 'Poison'] 3 98 113 107 rgb(98, 113, 107)
3 charmander 39 52 43 60 50 65 Fire ['Fire'] 1 188 138 97 rgb(188, 138, 97)
4 charmeleon 58 64 58 80 65 80 Fire ['Fire'] 2 191 102 84 rgb(191, 102, 84)
5 charizard 78 84 78 109 85 100 Fire ['Fire', 'Flying', 'Dragon'] 3 146 130 96 rgb(146, 130, 96)
6 squirtle 44 48 65 50 64 43 Water ['Water'] 1 110 151 164 rgb(110, 151, 164)
7 wartortle 59 63 80 65 80 58 Water ['Water'] 2 85 106 138 rgb(85, 106, 138)
8 blastoise 79 83 100 85 105 78 Water ['Water'] 3 110 109 115 rgb(110, 109, 115)
9 caterpie 45 30 35 20 20 45 Bug ['Bug'] 1 141 152 90 rgb(141, 152, 90)

The data is formatted such that the columns represent the different stats, types, and evolution stage while each row represents a different pokemon. This convenient DataFrame structure will allow us easily perform our analyses. Now that the computer has done all the hard work of collecting the data, let's dive in!

Exploratory Data Analysis

# importing our data exploration modules
import pandas as pd
import numpy as np
import matplotlib.pyplot as plt
import seaborn as sns
%matplotlib inline
plt.rcParams.update({'font.size': 20}) # to increase matplotlib's font size
sns.set_style("darkgrid") # set plot styling

We'll be using pandas for all of our data manipulation needs. For visualizations, we'll be using seaborn, which is a statisical data visualization library that uses matplotlib. To pass the data into seaborn, we first need to "melt" the data so that it is in long format rather than wide. This means that there will be a single column called stats rather than having each stat as a separate column.

dataf = pd.read_csv('original_data.csv')
dataf.loc[dataf.evo_stage>3, 'evo_stage'] = 3
dataf.pokemon = dataf.pokemon.str.lower()
dataf_stats = dataf.drop(['types'], axis=1)

dataf_long_stats = pd.melt(dataf_stats, id_vars = ['pokemon','type','evo_stage'], var_name = 'stats')
dataf_long_stats.head(10)
print('The shape of the original dataframe is: ', dataf.shape)
print('The shape of the melted dataframe is: ', dataf_long_stats.shape)
pokemon type evo_stage stats value
0 bulbasaur Grass 1 hp 45
1 ivysaur Grass 2 hp 60
2 venusaur Grass 3 hp 80
3 charmander Fire 1 hp 39
4 charmeleon Fire 2 hp 58
5 charizard Fire 3 hp 78
6 squirtle Water 1 hp 44
7 wartortle Water 2 hp 59
8 blastoise Water 3 hp 79
9 caterpie Bug 1 hp 45
The shape of the original dataframe is:  (807, 10)
The shape of the melted dataframe is:  (4842, 5)

We can see that the new dataframe is 807*6=4842. Instead of having a "wider" dataframe, the dataframe is now "longer," which makes it easier to perform aggregate computations and visualizations. First, let's see the average value of each stat using pivot_table.

df_agg = dataf_long_stats.groupby('stats')
df_agg.value.agg([np.mean, np.std])
mean std
stats
att 76.210657 29.644590
defs 71.602230 29.611741
hp 68.748451 26.032808
spatt 69.610905 29.567768
spdef 69.889715 27.155402
spe 65.830235 27.736838

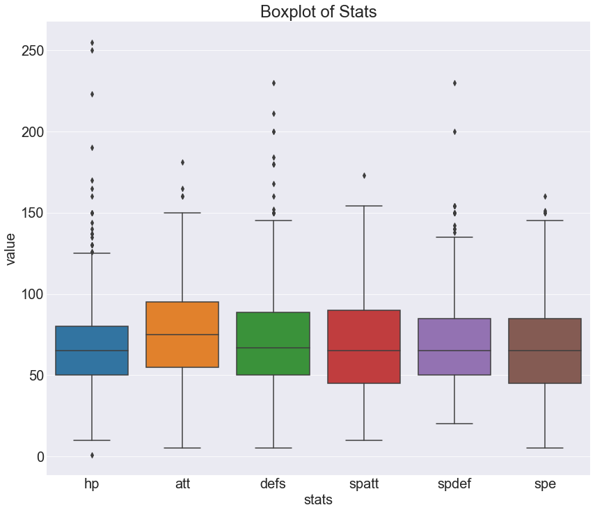
Now, let's see the distributions of each stat with boxplots.

plt.figure(figsize=(8,6))
sns.boxplot(x='stats', y='value', data = dataf_long_stats)
plt.title('Boxplot of Stats')

png
png

Doesn't seem like there's anything toooo interesting here. The medians for each stat appears to be around 70-80. There does seem to be an abnormally large amount of outliers for HP. Let's take a look at how evolution stage affects stats using a swarmplot. Since the visual will be very messy with all the pokemon, I decided to take a look at the first 200.

# script to extract first 200 pokemon
indexes = []
count = 0
for i in range(dataf_long_stats.shape[0]):
    if count <= 200:
        indexes.append(i)               
    count += 1               
    if i % 807 == 0:
        count = 0    
# drawing the swarmplot
plt.figure(figsize=(10,10))
sns.swarmplot(x='stats', y= 'value', hue = 'evo_stage', 
              data = dataf_long_stats.iloc[indexes], palette = 'muted' )
plt.title('Swarmplot of Stats with Evolution')

png
png

This graph tells us a few things that we probably already knew. First of all, we can see that the first stage comprises most of the pokemon and tends to have the lowest stats. Next, we see that the third stage are the fewest but they tend to be higher up on the graph. The second stage is intermediate in both count and stat values.

Let's see what kind of role type plays on stats. First let's take a look at the numbers by aggregating the data with a pivot table.

df_agg = pd.pivot_table(dataf_long_stats.drop('evo_stage',axis=1), 
                        index='type', columns = 'stats', values='value')
df_agg
sns.heatmap(df_agg)
stats att defs hp spatt spdef spe
type
Bug 57.575000 66.625000 50.275000 41.575000 57.750000 50.150000
Dark 84.800000 61.200000 62.000000 84.800000 68.700000 78.200000
Dragon 93.678571 78.750000 79.714286 82.964286 80.392857 70.357143
Electric 69.454545 56.515152 63.181818 79.424242 65.606061 82.242424
Fairy 63.333333 71.361111 64.833333 79.000000 87.500000 63.361111
Fighting 99.227273 73.318182 74.113636 60.227273 69.386364 72.568182
Fire 80.500000 65.515625 68.328125 87.578125 70.218750 75.171875
Flying 76.157895 69.070175 73.087719 80.210526 74.789474 83.982456
Ghost 72.142857 87.428571 56.142857 79.285714 88.428571 59.857143
Grass 73.052632 71.294737 64.968421 71.094737 70.747368 57.305263
Ground 88.166667 83.900000 74.366667 55.783333 61.033333 57.500000
Ice 78.642857 78.500000 67.000000 71.142857 82.214286 65.571429
Normal 73.588785 58.457944 76.093458 56.906542 63.028037 69.177570
Poison 70.720000 64.800000 64.520000 65.440000 64.480000 67.320000
Psychic 55.378378 63.432432 70.567568 85.324324 79.135135 65.000000
Rock 87.629630 94.888889 70.925926 61.185185 67.333333 50.481481
Steel 91.000000 111.000000 65.171429 73.542857 81.142857 55.485714
Water 70.543210 70.518519 67.629630 70.802469 65.604938 63.407407

png
png

It's a bit hard to see any trends with just numbers and this heatmap... Let's see how these numbers play out with other visuals. This will be a barplot that describes the distribution of means for each of the stats.

plt.rcParams.update({'font.size': 13})
g = sns.factorplot(x='stats', y = 'value', data = dataf_long_stats,
                   col = 'type', col_wrap=5, kind = 'bar', size = 3)

png
png

A bit hard to see, but there are some interesting trends. For example, bug type pokemon seem to have lower overall. Steel and rock types have strikingly high defense but very low speed.

plt.rcParams.update({'font.size': 13})
g = sns.factorplot(x='stats', y = 'value', data = dataf_long_stats,
                   col = 'type', col_wrap=5, kind = 'point', size = 3)

png
png

A similar visual, except using points rather than bar. This allows us to much more easily see the distribution of stats per type. Perhaps we can build a model that can learn these differences...

Obtaining the Main Color of each Pokemon

import requests
import PIL
import io
import numpy as np
import cv2
# Download all of the pokemon images

poke_col_list = []
for counter, pokemon in enumerate(poke_list):
    page2 = requests.get('https://pokemondb.net' + pokemon)
    soup2 = BeautifulSoup(page2.content, 'html.parser')

    img_link = soup2.select('div.col.desk-span-4.lap-span-6.figure img')[0]['src']
    #print(img_link)
    

    img = requests.get(img_link, stream=True)
    
    img_name = 'images' + pokemon.replace('/pokedex', '') + '.jpg' 
    with open(img_name, 'wb') as handler:
        handler.write(img.content)
        #print('Saving', pokemon)
        print(str(counter+1)+ '/'+ str(len(poke_list)) + ' saved.')    

I will be defining the "main color" of the pokemon as the average of it's color. Each image contains the pokemon and a white background. If I take just the average of the entire image, it will be too white because of the white background. To avoid this problem, I used a k-means function to compute 2 clusters. One cluster center will correspond to the average of the white background while the other cluster center will correspond to the average of the pokemon color. Here are some sample pictures with the original and transformed images:

Original Pictures:

collage original

Pictures after converting to its two dominant colors:

collage new
from os import listdir
poke_img_files = listdir('images')

poke_col_list = []
for poke_img in tqdm(poke_img_files):
    img = PIL.Image.open('images/'+ poke_img)
    img = cv2.cvtColor(np.array(img), cv2.COLOR_RGB2BGR)

    Z = img.reshape((-1,3))
    # convert to np.float32
    Z = np.float32(Z)
    # define criteria, number of clusters(K) and apply kmeans()
    criteria = (cv2.TERM_CRITERIA_EPS + cv2.TERM_CRITERIA_MAX_ITER, 10, 1.0)
    K = 2
    ret,label,center=cv2.kmeans(Z,K,None,criteria,10,cv2.KMEANS_RANDOM_CENTERS)
    # Now convert back into uint8, and make original image
    center = np.uint8(center)
    res = center[label.flatten()]
    res2 = res.reshape((img.shape))


    b,g,r = cv2.split(res2)
    frame_rgb = cv2.merge((r,g,b))
    img_name = 'new_images/' + poke_img
    pil_img = PIL.Image.fromarray(frame_rgb, "RGB")
    pil_img.save(img_name)
    #print('Saving', poke_img)
    
    # extracting the two colors
    two_colors = []
    big_list = []
    res3 = res2.tolist()
    for i in res3:
        big_list.extend(i)
    for i in big_list:
        in_list = i in two_colors
        if in_list == False: two_colors.append(i)
    # the color that is farther away from 250 (white) is probably the pokemon's dominant color

    main_color = [sorted(two_colors)[0]] # each array is (BGR) instead of (RGB)
    poke_col_list.append(main_color)

poke_col_list_flat = []
for i in poke_col_list:
    for j in i:
        poke_col_list_flat.append(j)
b, g, r = zip(*poke_col_list_flat) # create new lists that correspond to blue, green, and red channel
color_df = pd.DataFrame({'r':r, 'g': g, 'b': b,
                         'pokemon': [item.replace('.jpg', '') for item in poke_img_files]})

# adding this column 'color' because plotly requires color to be in that format
color_df['color'] = 'rgb(' + color_df.r.map(str) + ', ' + color_df.g.map(str) + ', ' + color_df.b.map(str) + ')'

dataf = pd.merge(dataf, color_df, on = 'pokemon') # merging the color dataframe with the original dataframe by 'pokemon' column
dataf.shape
dataf.head()

dataf.to_csv('data_w_color.csv', index= False)

Let's visualize the colors with an interactive 3-D graph!

import plotly.plotly as py
import plotly.graph_objs as go
import numpy as np
dataf = pd.read_csv('data_w_color.csv')

trace1 = go.Scatter3d(
    x=dataf['r'],
    y=dataf['g'],
    z=dataf['b'],
    mode='markers',
    marker=dict(
        color=dataf['color'],
        size=5,
        line=dict(
            color= dataf['color'],
            width=0.5
        ),
        opacity=0.8
    ),
    text = dataf.pokemon
)

data = [trace1]

layout = go.Layout(
    margin=dict(
        l=0,
        r=0,
        b=0,
        t=0
    ),
    scene = dict(
        xaxis = dict(title = 'Red'),
        yaxis = dict(title = 'Green'),
        zaxis = dict(title = 'Blue')
    ),
    paper_bgcolor='rgba(0,0,0,0)'
)
fig = go.Figure(data=data, layout=layout)
py.iplot(fig, filename='simple-3d-scatter')

Interesting results... but this doesn't tell us much besides the color distribution. What's more important would be to include type into visual. Now, keeping the same points on this graph, but changing each point's color to correspond to its type. This will allow us to see the relationship between color and type. First, we need to create a new color scheme that corresponds to the colors that we're more familiar with.

color_type_dict = {}

# obtaining this color palette from bulbapedia.com
color_type_dict = {'Grass': 'rgb(120,200,80)',
                   'Fire': 'rgb(240,128,48)',
                   'Water': 'rgb(104,144,240)',
                   'Bug': 'rgb(168,184,32)',
                   'Normal': 'rgb(168,168,120)',
                   'Poison': 'rgb(160,64,160)',
                   'Electric': 'rgb(248,208,48)',
                   'Ground': 'rgb(224,192,104)',
                   'Fairy': 'rgb(238,153,172)',
                   'Fighting': 'rgb(192,48,40)',
                   'Psychic': 'rgb(248,88,136)',
                   'Rock': 'rgb(184,160,56)',
                   'Ghost': 'rgb(112,88,152)',
                   'Ice': 'rgb(152,216,216)',
                   'Dragon': 'rgb(112,56,248)',
                   'Flying': 'rgb(168,144,240)',
                   'Dark': 'rgb(112,88,72)',
                   'Steel': 'rgb(184,184,208)'
}    

# mapping these colors to each pokemon    
color_type = []
for i in range(0,len(dataf)):
    p_type = dataf.iloc[i].type
    color_item = color_type_dict[p_type]
    col = color_item
    color_type.append(col)
    
dataf['color_type'] = color_type

trace2 = []

for col_type in np.unique(color_type):
    dataf_type_subset = dataf.loc[dataf.color_type == col_type]
    trace2.append(
        go.Scatter3d(
        x=dataf_type_subset['r'],
        y=dataf_type_subset['b'],
        z=dataf_type_subset['g'],
        mode='markers',
        marker=dict(
            color=dataf_type_subset['color_type'],
            size=5,
            line=dict(
                color= dataf_type_subset['color_type'],
                width=0.5
            ),
            opacity=0.8
        ),
        text = dataf_type_subset['type'],
        name = dataf_type_subset.type.iloc[1]
        )
    )

    
data2 = [trace2]

layout = go.Layout(
    margin=dict(
        l=0,
        r=0,
        b=0,
        t=0
    ),
    scene = dict(
        xaxis = dict(title = 'Red'),
        yaxis = dict(title = 'Blue'),
        zaxis = dict(title = 'Green')
    ),
    paper_bgcolor='rgba(0,0,0,0)'
)

fig2 = go.Figure(data=trace2, layout=layout)
py.iplot(fig2, filename='simple-3d-scatter2')

The pokemon are in the same space as the previous graph. The difference here is that the color of the points changed to represent the pokemon's type. Since there are so many different types in such a small plot, it's difficult to see clear clusters. However, there are distinct clusters; for example, you can see that fire types and water types are on opposite ends. Just out of curiousity I'll try different machine learning methods to see how useful of a feature color is.

Building a Predictive Model

Just a reminder, we'll be trying to predict a pokemon's type by using their base stats, evolution stage, and color. The first thing that should be done is to establish a benchmark to beat. This benchmark will be the accuracy of a "dumb" model that predicts only the most frequent type. Since the most frequent type is water, this "dumb" model will have an accuracy of about 116/807 \approx 14%.

Usually before feeding data into machine learning algorithms, the data must be preprocessed and formatted correctly to achieve the best results. However, it's a good thing that the data is already in the perfect format that we need, so no further preprocessing will be necessary.

We'll split up the data into a training set (80%) and a validation set (20%) to see how well the model generalizes to data it hasn't seen before.

from sklearn.linear_model import LogisticRegression
from sklearn.neighbors import KNeighborsClassifier
from sklearn.ensemble import RandomForestClassifier
from xgboost import XGBClassifier

from sklearn.model_selection import cross_val_score
from sklearn.metrics import accuracy_score
from sklearn.model_selection import train_test_split

from sklearn.model_selection import GridSearchCV

# xgboost causing warnings
import warnings
warnings.filterwarnings('ignore')
dataf = pd.read_csv('data_w_color.csv')

# first drop all unnecessary variables
dataf_clean = dataf.drop(['types', 'color', 'pokemon'], axis=1)
X = dataf_clean.drop('type', axis=1) # feature matrix
y = dataf_clean.type # target vector

# splitting the data into training and testing sets
X_train, X_test, y_train, y_test = train_test_split(X, y, test_size=0.2, random_state = 123, stratify = y)
print('The shape of X_train is ', X_train.shape)
print('The shape of y_train is ', y_train.shape)
print('The shape of X_test is ', X_test.shape)
print('The shape of y_test is ', y_test.shape)
The shape of X_train is  (645, 10)
The shape of y_train is  (645,)
The shape of X_test is  (162, 10)
The shape of y_test is  (162,)

Let's first try out a few classical machine learning algorithms to see which ones perform well by looking at their cross validation scores

models = []
models.append(('LogisticRegression', LogisticRegression()))
models.append(("KNeighborsClassifier", KNeighborsClassifier(n_neighbors=10)))
models.append(("RandomForestClassifier", RandomForestClassifier(n_estimators=200,
                                                                criterion='gini',
                                                                    max_features=3)))
models.append(('XGBoost', XGBClassifier(learning_rate=0.05, n_estimators=100,
                                       max_depth= 5)))

results = []
names = []
for name,model in models:
    result = cross_val_score(model, X_train, y_train, cv=5)
    names.append(name)
    results.append(result)

mean_results = []
sd_results = []
for model in results:
    mean_results.append(model.mean())
    sd_results.append(model.std())

results_df = pd.DataFrame({'Model': names,
              'Mean Classification Rate': mean_results,
              'Standard Deviation': sd_results
             })
results_df.sort_values(by = 'Mean Classification Rate', ascending=False) # returning sorted dataframe
Model Mean Classification Rate Standard Deviation
0 LogisticRegression 0.342986 0.039329
2 RandomForestClassifier 0.304093 0.037466
3 XGBoost 0.263581 0.028925
1 KNeighborsClassifier 0.254184 0.033099

Seems that a simple logistic regression has the highest cross-validation score. Let's see how they do on the held-out validation set.

results = []
names = []
for name, model in models:
    model_fit = model.fit(X_train, y_train)
    pred = model_fit.predict(X_test)
    result = accuracy_score(pred, y_test)
    results.append(result)
    names.append(name)

results_df = pd.DataFrame({
    'Model': names,
    'Classification Rate': results
})

results_df.sort_values(by = 'Classification Rate', ascending = False)
Model Classification Rate
0 LogisticRegression 0.327160
3 XGBoost 0.296296
1 KNeighborsClassifier 0.290123
2 RandomForestClassifier 0.283951

Indeed, logistic regression performs the best on the validation set. It is slightly lower than the training score, which is to be expected and suggests some overfitting. Now let's see how well neural networks perform on this dataset!

from keras.models import Sequential
from keras.layers import Dense, Dropout
from keras.optimizers import Adam
from keras.wrappers.scikit_learn import KerasClassifier
from sklearn.cross_validation import cross_val_score
from sklearn.preprocessing import StandardScaler
import numpy as np

import keras.backend as K
K.clear_session()

sc = StandardScaler()
X_train_sc = sc.fit_transform(X_train)
X_test_sc = sc.transform(X_test)


def build_nnet():
    nnet = Sequential()
    nnet.add(Dense(512, kernel_initializer= 'normal', input_shape = (10,), activation = 'relu'))
    nnet.add(Dropout(0.5))
    nnet.add(Dense(512, kernel_initializer= 'normal',activation = 'relu'))
    nnet.add(Dropout(0.3))


    nnet.add(Dense(18, activation = 'softmax'))
    nnet.compile(Adam(lr=0.001), 
                loss = 'categorical_crossentropy',
                metrics = ['accuracy'])
    return nnet

y_train_cat = pd.get_dummies(y_train)
y_test_cat = pd.get_dummies(y_test)
nnet = KerasClassifier(build_fn = build_nnet, epochs = 100, verbose =0)
cv_score = cross_val_score(nnet, X_train, y_train_cat)
print('The cross-validation scores for this neural network are: ', cv_score)
print('The average cross-validation score for this neural network is: ', cv_score.mean())
The cross-validation scores for this neural network are:  [0.31627907 0.31162791 0.3627907 ]
The average cross-validation score for this neural network is:  0.3302325581395349
nnet.fit(X_train, y_train_cat, epochs = 100, verbose=1, batch_size=100, validation_split = 0.2)

pred = nnet.predict(X_test)
#pred
accuracy_score(np.asarray(y_test_cat).argmax(axis=1),pred)
0.35185185185185186

Conclusion

Even though these models didn't yield world-class results, I still think it's quite an impressive improvement over the benchmark. It's highly likely that these variables aren't very good predictors for type. I did try running different models without the color features (not shown) and found that color improves the scores by about 5-10%, showing how important feature engineering is. There are a few things that likely could have improved the results.

  1. We could have collected more data on each pokemon, such as their height and weight, since certain types, such as steel and rock, are more heavier than others, such as grass and bug.
  2. We could have fine-tuned the algorithms' hyperparameters through methods such as random search or grid search.

Overall, from data collection to exploration to analysis, this was a challenging but fun little experiment for me to practice my data analysis and machine learning skills :).